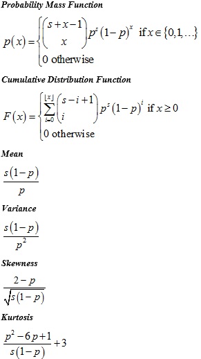
PsiNegBinomial (s,p,...)
PsiNegBinomial (s,p) is a discrete distribution that describes the number of failures that will occur before a given number of successes, where each trial is successful with probability p. The Negative Binomial distribution can be used to describe the number of items that pass inspection before the sth defective item is found.
If X1, X2,…,Xs are independent Geometrically distributed random variables each with parameter p, then their sum is Negative Binomially distributed, with parameters s and p. Additionally, the Geometric distribution with parameter p is the same as a Negative Binomial distribution with parameters s = 1 and p; hence, the Geometric distribution is a special case of a Negative Binomial distribution.



