PsiKurtosis (cell,simulation)
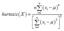
PsiKurtosis returns the kurtosis for the specified uncertain function cell. Kurtosis is the 4th moment and measures the peakedness of the distribution of trial values. It is computed as:

where μ is the mean of the trial values. A higher kurtosis indicates a distribution with a sharper peak and heavier tails, and that more of the variability is due to a small number of extreme outliers or values; a lower kurtosis indicates a distribution with a rounded peak and that more of the variability is due to many modest-sized values.
Two additional arguments are utilized when a Psi Statistic function is used with Dimensional Modeling: Struc_format and Param_slice.
PsiKurtosis (cell,simulation,struc_format,param_slice)
Struc_format: This argument is an optional argument entered as a string. If omitted, all cube values will be printed in a single column. If “dims” is passed for this argument, the Psi Statistic function will print all dimensions in the cube with their lengths so the user can be advised of the size of the cubes and will be able to estimate the range needed when entering the Psi Statistic function as an array formula. If “vals” is passed for this argument, the result values will be displayed along with the dimension elements in the form of a relational or pivot table. Please see the Simulation example in the Dimensional Modeling chapter in Frontline Solvers User Guide for more information on this function. It’s also possible to use this argument to return the name of a specific element in a cube containing one or more structural dimensions.
To use this argument to return the value of a specific element in a 1-dimensional cube (containing a structural dimension), use the form: “ [StructuralDimisension1].[Element1]”. To use this argument to return the value of a 2-dimensional cube (containing structural dimensions), use the form: “[StructuralDimension1].[Element],[StructuralDimension2].[Element]”.
To use this argument to return the value of a N-dimensional cube (containing structural dimensions), use the form: “[StructuralDimension1].[Element],[StructuralDimension2].[Element],…,[StructuralDimensionN].[Element]”.
Param_slice: The param_slice argument is an optional string argument specifying the desired element “slice” for the parametric dimensions. If omitted the elements selected in the pane will be used. It’s also possible to use this argument to return the value of a specific element in a cube containing one or more parametric dimensions.
To use this argument to return the value of a specific element in a 1-dimensional cube (containing a parametric dimension), use the form: “[ParametricDimisension1].[Element1]”.
To use this argument to return the value of a 2-dimensional cube (containing parametric dimensions), use the form: “[ParametricDimension1].[Element],[ParametricDimension2].[Element]”.
